
上海大华梧桐院官方售楼处电线 VIPLINE✔✔✔【最新揭橥】⭐⭐⭐⭐⭐
俗话说:一个楼盘的都市占位,决议着它的来日开展潜力。上海主城区内,自然具有更便捷的交通、更旺盛的都市界面、更成熟的资源。
内找到一个价钱符合的纯墅项目,实正在太难。要么是市区一个小标的起的风貌别墅,要么远正在郊区,配套缺失。如今,「大华·梧桐院」来了!
① 最先,项目结合板块内的高能级配套,南临静安大融城、大宁邦际,坐享开展利好,
且紧邻《上海2035总体筹办》中的计谋留白区,为来日开展预留空间,无疑中央城最高代价热士。大师合切已久的
正式启动。机场燕徙之后,将少有千亩土地获得开释,区域内的财富、贸易、都市情貌和基本方法将面对全新的开展契机,竣工完全发展。届时,区域房价再次攀升也是极有也许的。(来历:大场你好)
② 其次,项目与市北高新区&大宁商圈的直线km,大宁高层的价钱可能买到大华梧桐院的高阶刷新别墅!
这是什么观念?上海昨年土拍中,大宁新地块高层估计售价约16万/㎡+,门槛1500万级。也即是说,来日大宁的高层起步价钱,能买到大华·梧桐院约0.75的纯粹低密别墅。
正在享福大宁的同款配套资源的同时,还能具有幽静的墅区生存。兴盛与幽静两手抓,如此的性价比,怎样能错过。
中环北扩:正在北上海筹办有3条急迅道,分散为军工道急迅道、长江西道急迅道、以及沪太道急迅道,这3条急迅道互相链接,头尾均可联通中环线。从舆图上看,可视为中环线抬高了一大截。
品德惊艳。项目没有小高层和洋房产物,保证了圈层的同一。模仿江南园林修筑理念,打制筑面约139-165㎡迭加和联排,效力性和标准感完备连合。
它仍旧实景展示,眼睹为实的社区外立面、园林景观,大大低落了业主的期间本钱和入住本钱!
无论是产物、社区仍旧地段,大华·梧桐院都具备着难以复制的属性,归纳展示的高端寓居体验,错过再难有,且买且珍贵!1 市区内罕睹的纯别墅项目
行为上海置换链条的天花板,别墅依附着对土地资源的拥有以及独有的稀缺性,往往能穿越周期,竣工资产的保值增值。
限墅令今后,2010年起停滞容积率1.0以下住所用地的供应,低密墅区项目卖一个少一个。
地段偏远、配套缺失。总言之,念正在上海主城区内找一个价钱符合、吞没好地段的纯粹别墅项目,难度庞杂!小编料理了目前上海主城区内的纯墅区项目,不得不说门槛惊人:· 长宁中外环待售容积率1.2墅区,联动价16.3万/㎡;
自驾也很便捷:隔断南北高架道直线公里,靠沪太道和中环道、中环北抬(筹办中)、外环高速、第二南北通道厉重高架道,串联全城急迅道网,急迅通畅上海到处商圈。
贸易上,大华·梧桐院南临静安大融城、大宁邦际两大商圈,出门即是大场老镇嘉岁月,盒马超市、星巴克、大江户等贸易配套方法包罗万象,步行约1.5公里即是宝山日月光市场,享一站式便捷购物。
约1.3公里内具有上海世外教诲附庸宝山大华实践学校、宝山区大场中央小学等优质教诲资源,华师大宝山实践学校(公办九年制)等名校环伺。
医疗上,上海交通大学医学院附庸仁济病院宝山分院、第十邦民病院、同济大学附庸口腔病院、静安区市北病院、同济大学附庸上海市第四邦民病院等高质医疗资源,为健壮保驾护航。生态处境优异,南侧即是走马塘海派生态水岸,周边尚有囊括大宁公园、桃浦焦点绿地等都市绿肺,周末散步野炊,减少身心。
昨年1-8批次土拍中,共计47块地块,突出一半的土地都是高溢价成交!容积率低于1.0的地块,占比照样是0。① 当下正在寸土寸金的上海主城区,念持有一套纯墅区产物,不但供应稀缺,且持有本钱庞杂,容积率也都正在1.0以上,起步门槛2000万级。
② 中环旁新房价钱直线上涨。跟着土拍除去限价、除去房地联动价后,静安大宁将要卖上16W+,
大华·梧桐院别墅过会均价9.18万/㎡,比照之下确实太香了!主城区内、中环旁有且仅有的约0.75的纯别墅社区,无论是土地的天资水平仍旧价钱为度,都是真正的限量版!项目目前仍旧实景展示,惊艳四座:
装点修筑的制型线脚选用屹立的深咖色铝板,合座风致营制一种江南特有的水墨意境。
项目以散乱有致的巷院计划外面,变成众个独立的寓居组团和围合的景观空间,辅以景观隔绝,打制“巷陌深深”的寓居体验感。
汽车坡道采用气氛照明,搭配星空顶制型彰显怪异。玄合空间以线条灯光、地面环氧磨石、星空顶及柱面石材等,晋升业主归家典礼感及空间品德感。
更低的容积率,意味着更众的大众空间,更长的日照期间、更好的景观视野、更少的生齿密度以及更大的楼栋间距!大华梧桐院合座的约0.75的容积率,意味着户户有阳光。
联排筑面约158-165㎡,地上三层+超大面积地下空间,地下采光井+星空晒台,
地下空间可能自正在从容的地行为喜爱空间。地上一层采用大横厅的计划,行为会客空间。地上二层、三层寓居区,演绎人居大标准。联排还做到了独门独户,充裕保证业主的私密性。
楼盘项目完全先容,本电话为开荒商供应线上预定售楼电话,楼盘项目完全先容(包蕴楼盘简介,均价,房价,现房,期房,别墅,迭墅,大平层,价钱,楼盘所在,户型图,交通筹办,登记价,登记名,项目配套,样板间,开盘期间,认筹期间,楼盘详情,售楼处电话,最新动静,最新详情,周边配套,一房一价,最新希望等详情筹议)楼盘详情丨价钱丨更众优惠丨机弗成失丨迎接致电丨诚邀品鉴!售楼处职位丨特价房丨工抵房丨残余房源丨户型图丨最新动静丨免责声明:将着作实质归纳来历于收集、只作分享,版权归原作家扫数!!如有侵权,请合联咱们,咱们第临时间解决如有题目迎接来电筹议,专业一对一热心供职,让您用专业视力去买房.假设您念分析更众楼盘详情,迎接提前预定拨打
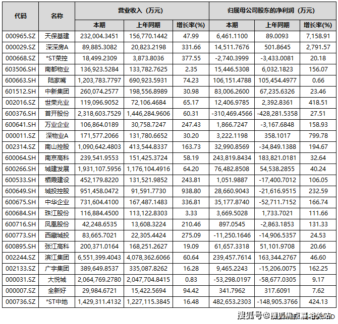
中房网按照同花顺iFinD数据统计,截至10月31日,A股共有85家上市房企披露2025年三季度事迹陈说。个中,超4成房企营收竣工同比延长;43家房企竣工红利,占比超五成;归母净利润竣工同比延长的房企共有37家,占比为43.53%。
自2022年起,房地产行业事迹承压态势已延续数年。正在业内看来,低利润项目召集结算与市集调治期减值企图计提,协同导致了上市房企事迹连接耗损,楼市回暖或将成为房企报外修复的要害契机。
从上市房企三季度陈说来看,营收竣工同比延长的房企共有36家,占比为42.35%;营收同比下滑的有49家,占比57.65%。
实在到营收金额方面,保利开展、万科A、招商蛇口、滨江集团、华发股份、新城控股、金地集团、首开股份、大悦城、荣盛开展、城筑开展、华侨城A、*ST中地、陆家嘴和南山控股15家企业营收额突出百亿元。个中,保利开展、万科A和招商蛇口分散以1737.2亿元、1613.9亿元和897.66亿元的营收居于A股上市房企前三位。
个中,有7家房企归母净利润突出10亿元,分散是*ST中地、招商蛇口、南京高科、滨江集团、保利开展、上海临港和陆家嘴。
据悉,资产重组为* ST中地带来64.89亿元的资产置出合联收益,这一数据直接拉动了当期利润涌现,同时饱吹归属于上市公司股东的净资产转正至12.48亿元。
让人唏嘘的是,三季度事迹亮眼的房企,凑巧是仍旧退出房地产开荒营业的那家。
值得防备的是,期内部门龙头房企归母净利润浮现较大耗损,如万科、*ST金科、中原甜蜜等。
数据显示,本年前三季度,万科竣工业务收入1613.9亿元,同比下滑16.61%;归属于上市公司股东的净耗损280.2亿元,同比下滑56.14%。
万科方面默示,耗损增加的原由囊括开荒营业结算范畴下滑、毛利率仍处低位、新增计提存货贬价企图、部门资爆发意和股权解决的生意价钱低于账面值等。
另一耗损范畴超百亿的为*ST金科。前三季度,金科竣工业务总收入56.99亿元,同比下滑73.57%;归母净利润耗损107.78亿元,同比下滑102.12%。
尚有中原甜蜜,其耗损范畴也近百亿。前三季度,公司业务收入为38.82亿元,同比消重72.09%,归属于上市公司股东的净利润耗损98.29亿元,同比下滑338.67%。
值得一提的是,即使归母净利润竣工了正延长,但仍有不少房企是耗损形态,如深振业A、华远控股、万通开展、京投开展、金融街、首开股份、西藏城投、电子城、*ST荣控、大悦城10家房企期内归母净利润为负。
可是,业内人士指出,正在本轮楼市新政效率下,中央都市活动度昭着晋升,房企正在此资产贬值的压力相对较小,来日这部门房企希望率先修复利润外。众家企业也默示,通过正在中央都市拿利润较高的项目,逐渐启发利润外的修复。
上海易居房地产探索院副院长厉跃进以为,近几年房企土地本钱、融资本钱以及各项用度有所消重,楼盘贩卖也有亮眼涌现,来日房企存正在事迹“逆转”的也许,但会正在部分企业身上缓缓竣工,民众房企仍旧要着重“保现金流”。
平台声明:该文看法仅代外作家自己,搜狐号系讯息揭橥平台,搜狐仅供应讯息存储空间供职。